Официальное опубликование правовых актов
ОФИЦИАЛЬНОЕ ОПУБЛИКОВАНИЕ
Постановление Правительства Кировской области от 29.01.2026 № 20-П
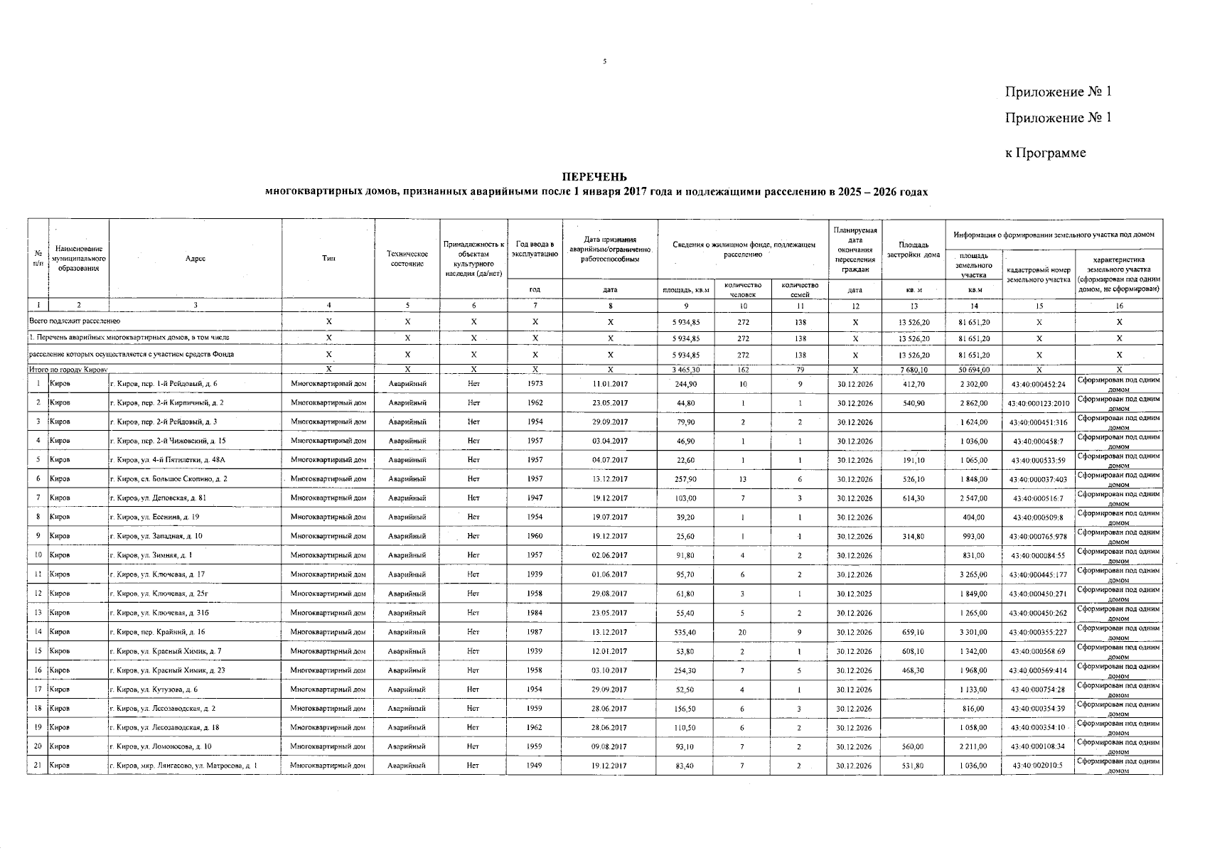
"О внесении изменений в постановление Правительства Кировской области от 01.09.2025 № 460-П "Об утверждении областной адресной программы "Переселение граждан, проживающих на территории Кировской области, из аварийного жилищного фонда, признанного таковым после 1 января 2017 года"
Номер опубликования: 4300202601300001
Дата опубликования: 30.01.2026
Страница №6 из 10:
Увеличить