Официальное опубликование правовых актов
ОФИЦИАЛЬНОЕ ОПУБЛИКОВАНИЕ
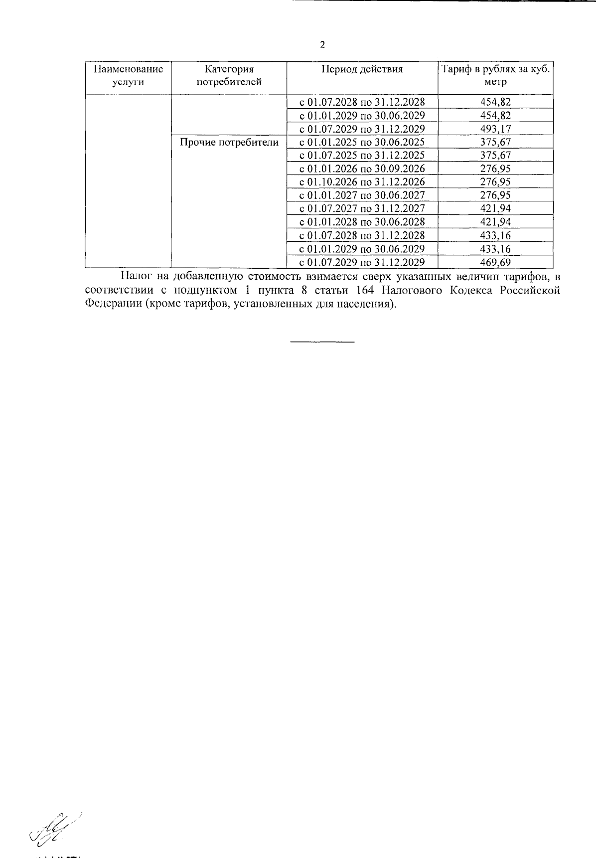
Решение правления региональной службы по тарифам Кировской области от 03.12.2025 № 41/67-кс-2026
"О внесении изменений в некоторые решения правления РСТ Кировской области"
(Зарегистрирован 12.12.2025 № 2822)
Номер опубликования: 4301202512170015
Дата опубликования: 17.12.2025
Страница №18 из 24:
Увеличить