Официальное опубликование правовых актов
ОФИЦИАЛЬНОЕ ОПУБЛИКОВАНИЕ
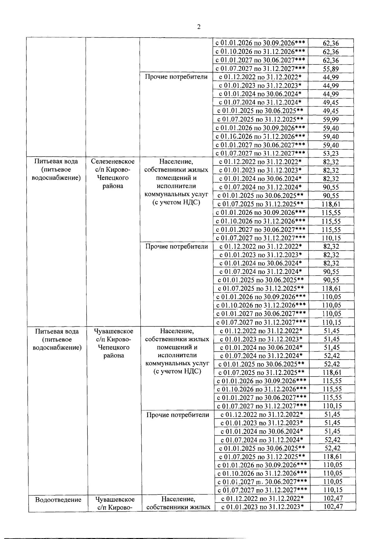
Решение правления региональной службы по тарифам Кировской области от 10.12.2025 № 42/83-кс-2026
"О внесении изменения в решение правления РСТ Кировской области от 16.11.2022 № 42/17-кс-2022"
(Зарегистрирован 22.12.2025 № 2966)
Номер опубликования: 4301202512230085
Дата опубликования: 23.12.2025
Страница №4 из 6:
Увеличить