Официальное опубликование правовых актов
ОФИЦИАЛЬНОЕ ОПУБЛИКОВАНИЕ
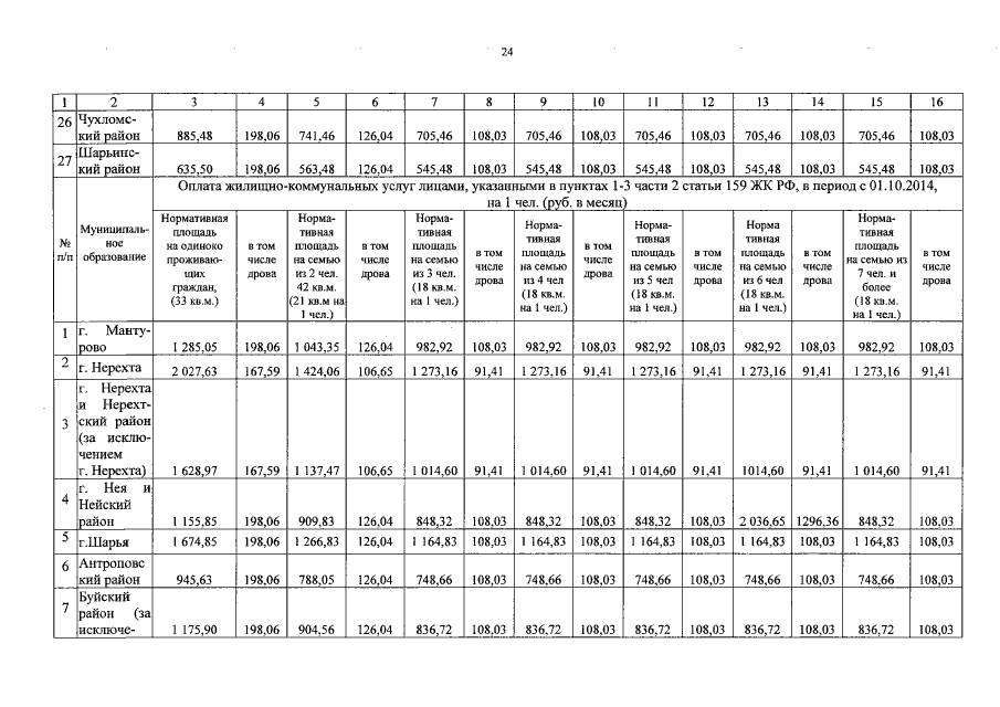
Постановление администрации Костромской области от 22.12.2014 № 534-а
"О внесении изменений в постановление администрации Костромской области от 27.02.2007 № 43-а"
Номер опубликования: 4400201412230008
Дата опубликования: 23.12.2014
Страница №25 из 32:
Увеличить