Официальное опубликование правовых актов
ОФИЦИАЛЬНОЕ ОПУБЛИКОВАНИЕ
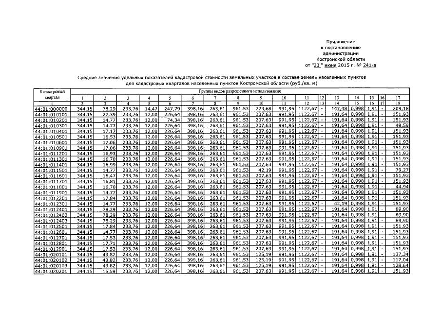
Постановление администрации Костромской области от 23.06.2015 № 241-а "О внесении изменений в постановление администрации Костромской области от 22.12.2014 № 543-а"
Номер опубликования: 4400201506250002
Дата опубликования: 25.06.2015
Страница №2 из 189:
Увеличить