Официальное опубликование правовых актов
ОФИЦИАЛЬНОЕ ОПУБЛИКОВАНИЕ
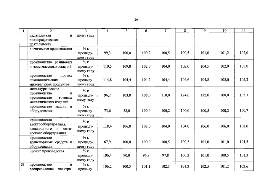
Постановление администрации Костромской области от 27.10.2015 № 389-а
"О прогнозе социально-экономического развития Костромской области на 2016 год и плановый период 2017 и 2018 годов"
Номер опубликования: 4400201510300009
Дата опубликования: 30.10.2015
Страница №21 из 37:
Увеличить