Постановление губернатора Костромской области от 29.08.2016 № 186
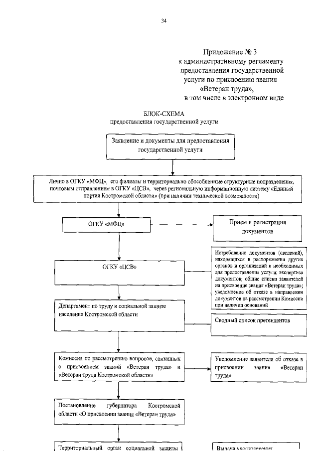
"Об утверждении административных регламентов предоставления государственных услуг по присвоению званий "Ветеран труда" и "Ветеран труда Костромской области", в том числе в электронном виде"
"Об утверждении административных регламентов предоставления государственных услуг по присвоению званий "Ветеран труда" и "Ветеран труда Костромской области", в том числе в электронном виде"
Номер опубликования: 4400201608300002
Дата опубликования:
30.08.2016
