Официальное опубликование правовых актов
ОФИЦИАЛЬНОЕ ОПУБЛИКОВАНИЕ
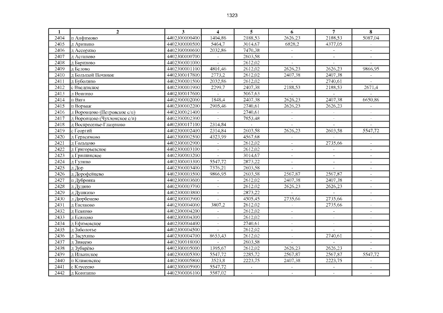
Постановление администрации Костромской области от 15.11.2016 № 438-а
"Об утверждении результатов определения кадастровой стоимости объектов недвижимости (за исключением земельных участков) на территории Костромской области"
Номер опубликования: 4400201611180017
Дата опубликования: 18.11.2016
Страница №1325 из 1332:
Увеличить