Официальное опубликование правовых актов
ОФИЦИАЛЬНОЕ ОПУБЛИКОВАНИЕ
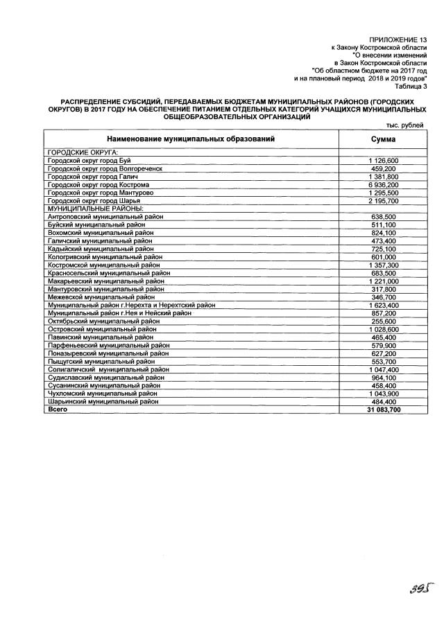
Закон Костромской области от 15.09.2017 № 277-6-ЗКО
"О внесении изменений в Закон Костромской области "Об областном бюджете на 2017 год и на плановый период 2018 и 2019 годов"
Номер опубликования: 4400201709180001
Дата опубликования: 18.09.2017
Страница №396 из 428:
Увеличить