Официальное опубликование правовых актов
ОФИЦИАЛЬНОЕ ОПУБЛИКОВАНИЕ
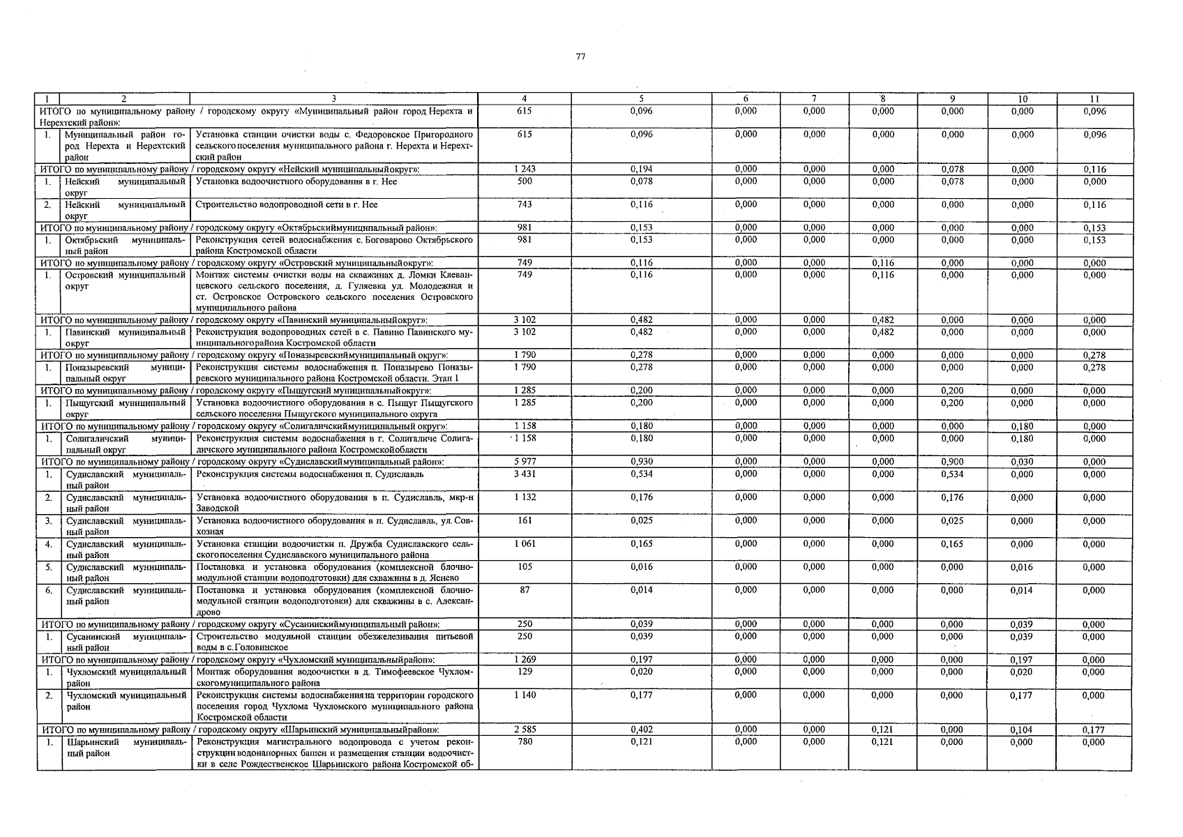
Постановление администрации Костромской области от 07.11.2023 № 481-а
"О внесении изменений в государственную программу Костромской области "Развитие жилищно-коммунального хозяйства и обеспечение качественными жилищно-коммунальными услугами граждан в Костромской области"
Номер опубликования: 4400202311070003
Дата опубликования: 07.11.2023
Страница №89 из 123:
Увеличить