Официальное опубликование правовых актов
ОФИЦИАЛЬНОЕ ОПУБЛИКОВАНИЕ
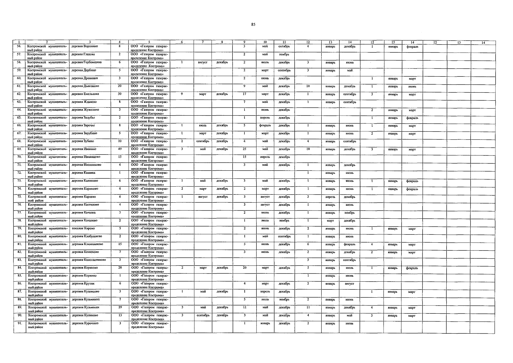
Постановление губернатора Костромской области от 07.02.2024 № 13
"О внесении изменения в программу газификации жилищно-коммунального хозяйства, промышленных и иных организаций Костромской области на 2019 – 2030 годы"
Номер опубликования: 4400202402080001
Дата опубликования: 08.02.2024
Страница №86 из 162:
Увеличить