Официальное опубликование правовых актов
ОФИЦИАЛЬНОЕ ОПУБЛИКОВАНИЕ
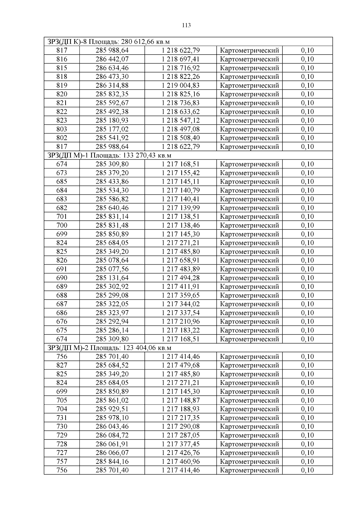
Постановление администрации Костромской области от 04.03.2024 № 69-а
"Об установлении зон охраны объекта культурного наследия регионального значения "Усадьба Васильевское" Карцевых (Чумаковых)", XIX в., режима использования земель и земельных участков и требований к градостроительным регламентам в границах территорий данных зон"
Номер опубликования: 4400202403050001
Дата опубликования: 05.03.2024
Страница №116 из 223:
Увеличить