Официальное опубликование правовых актов
ОФИЦИАЛЬНОЕ ОПУБЛИКОВАНИЕ
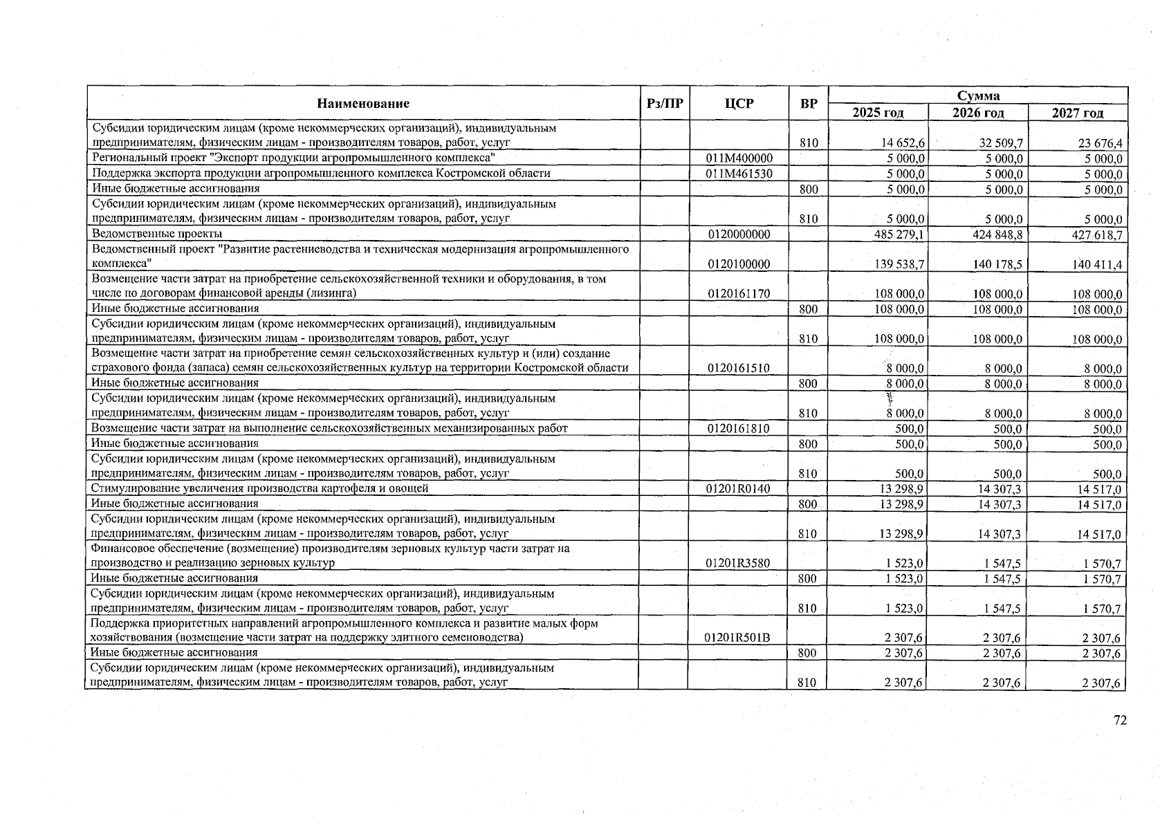
Закон Костромской области от 13.12.2024 № 569-7-ЗКО
"Об областном бюджете на 2025 и на плановый период 2026 и 2027 годов"
Номер опубликования: 4400202412160015
Дата опубликования: 16.12.2024
Страница №72 из 338:
Увеличить