Официальное опубликование правовых актов
ОФИЦИАЛЬНОЕ ОПУБЛИКОВАНИЕ
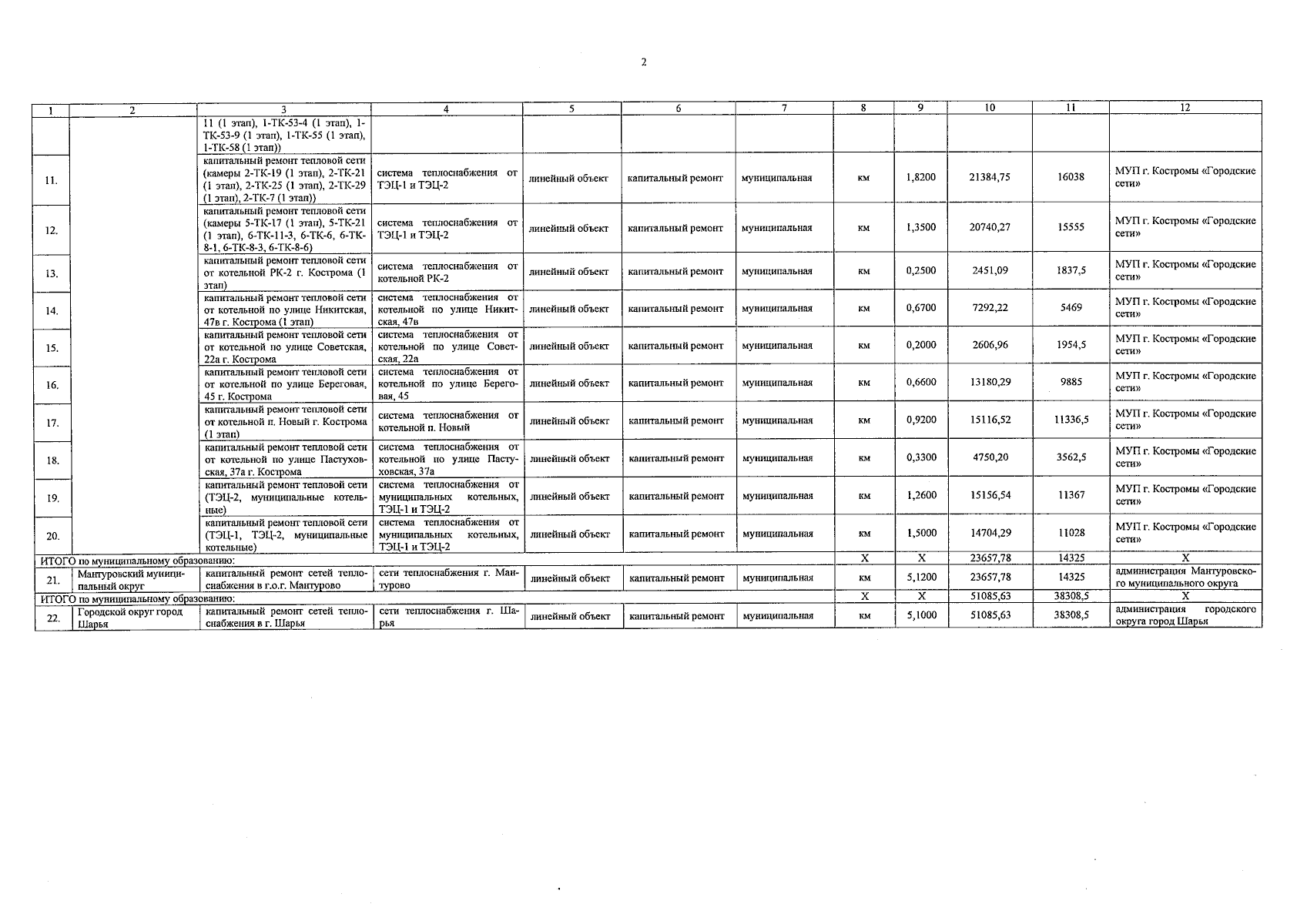
Постановление администрации Костромской области от 23.12.2024 № 477-а
"О внесении изменений в государственную программу Костромской области "Развитие жилищно-коммунального хозяйства и обеспечение качественными жилищно-коммунальными услугами граждан в Костромской области"
Номер опубликования: 4400202412240001
Дата опубликования: 24.12.2024
Страница №7 из 47:
Увеличить