Официальное опубликование правовых актов
ОФИЦИАЛЬНОЕ ОПУБЛИКОВАНИЕ
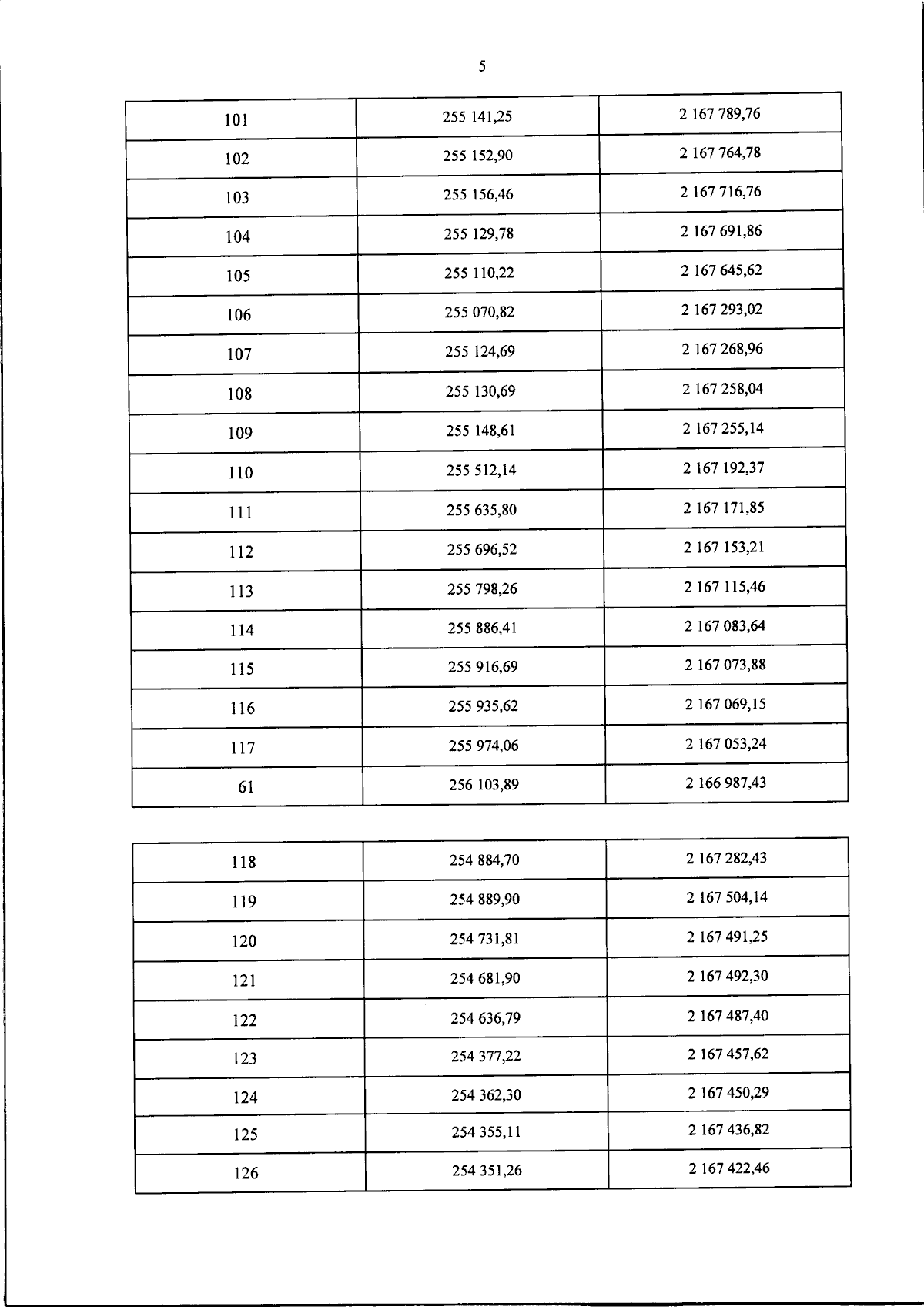
Постановление администрации Костромской области от 07.07.2025 № 267-а
"О преобразовании особо охраняемой природной территории регионального значения туристско-рекреационной местности "Завражье"
Номер опубликования: 4400202507070005
Дата опубликования: 07.07.2025
Страница №7 из 30:
Увеличить