Официальное опубликование правовых актов
ОФИЦИАЛЬНОЕ ОПУБЛИКОВАНИЕ
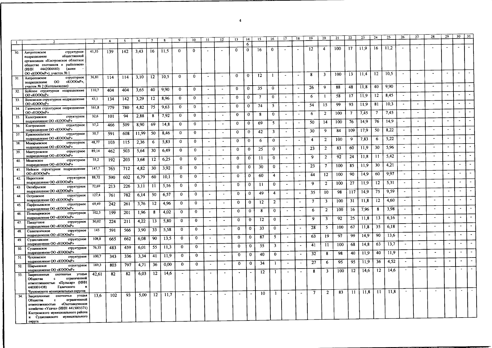
Постановление губернатора Костромской области от 10.07.2025 № 105
"Об утверждении лимита добычи охотничьих ресурсов на территории Костромской области (за исключением охотничьих ресурсов, находящихся на особо охраняемых природных территориях федерального значения) в период с 1 августа 2025 года до 1 августа 2026 года"
Номер опубликования: 4400202507100001
Дата опубликования: 10.07.2025
Страница №6 из 28:
Увеличить