Официальное опубликование правовых актов
ОФИЦИАЛЬНОЕ ОПУБЛИКОВАНИЕ
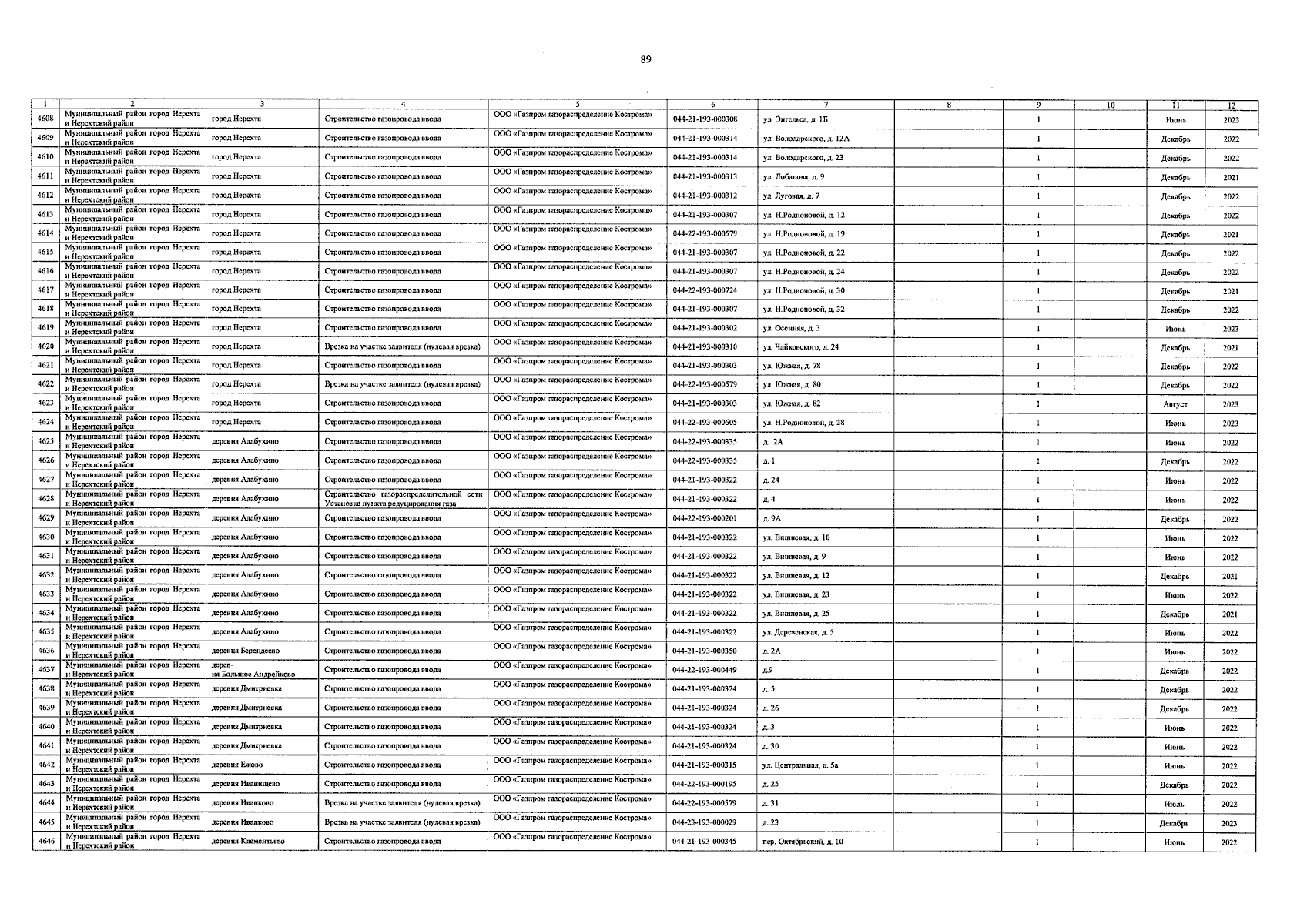
Постановление губернатора Костромской области от 10.09.2025 № 146
"О внесении изменений в программу газификации жилищно-коммунального хозяйства, промышленных и иных организаций Костромской области на 2019 – 2030 годы"
Номер опубликования: 4400202509100001
Дата опубликования: 10.09.2025
Страница №91 из 157:
Увеличить