Официальное опубликование правовых актов
ОФИЦИАЛЬНОЕ ОПУБЛИКОВАНИЕ
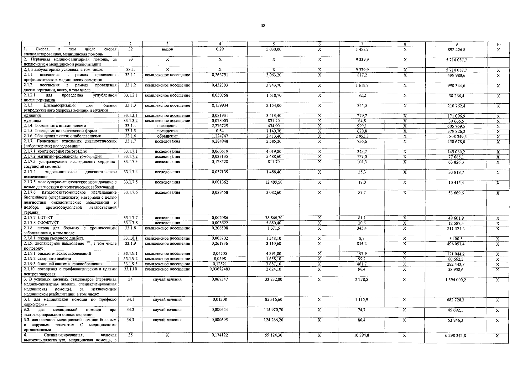
Постановление администрации Костромской области от 20.10.2025 № 417-а
"О внесении изменений в программу государственных гарантий бесплатного оказания гражданам медицинской помощи в Костромской области на 2025 год и на плановый период 2026 и 2027 годов"
Номер опубликования: 4400202510200005
Дата опубликования: 20.10.2025
Страница №44 из 55:
Увеличить