Официальное опубликование правовых актов
ОФИЦИАЛЬНОЕ ОПУБЛИКОВАНИЕ
Постановление администрации Костромской области от 10.11.2025 № 446-а
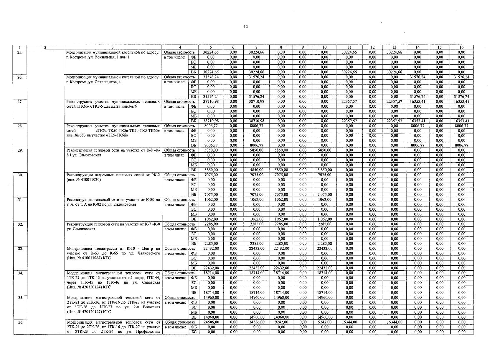
"О внесении изменений в государственную программу Костромской области "Развитие жилищно-коммунального хозяйства и обеспечение качественными жилищно-коммунальными услугами граждан в Костромской области"
Номер опубликования: 4400202511100001
Дата опубликования: 10.11.2025
Страница №15 из 19:
Увеличить