Официальное опубликование правовых актов
ОФИЦИАЛЬНОЕ ОПУБЛИКОВАНИЕ
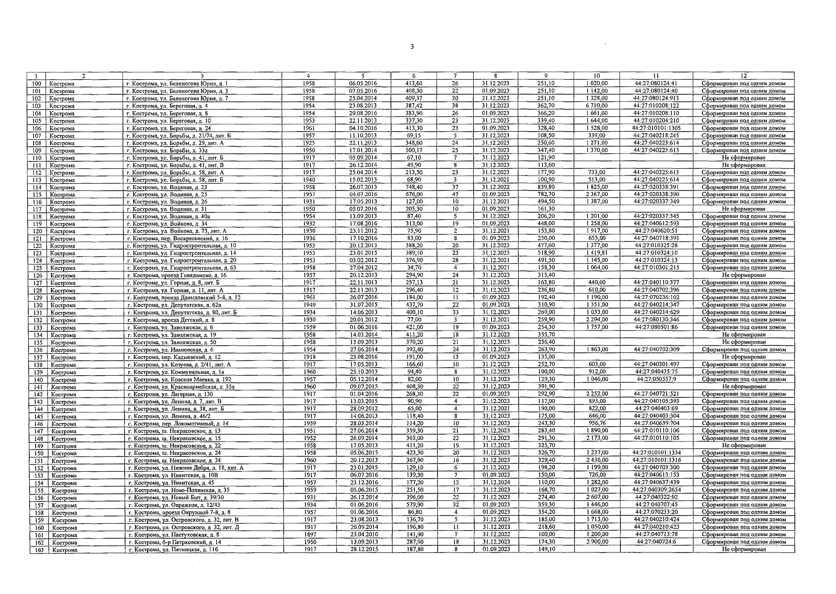
Постановление администрации Костромской области от 09.02.2026 № 35-а
"О внесении изменений в региональную адресную программу "Переселение граждан из аварийного жилищного фонда на территории Костромской области на 2019-2025 годы"
Номер опубликования: 4400202602100005
Дата опубликования: 10.02.2026
Страница №5 из 16:
Увеличить