Официальное опубликование правовых актов
ОФИЦИАЛЬНОЕ ОПУБЛИКОВАНИЕ
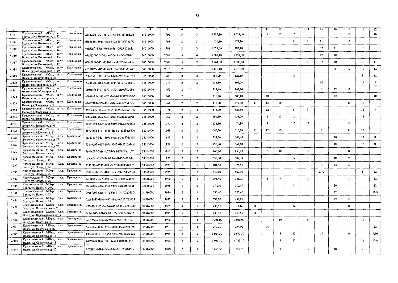
Постановление администрации Костромской области от 30.03.2026 № 99-а
"О внесении изменений в отдельные постановления администрации Костромской области"
Номер опубликования: 4400202603310008
Дата опубликования: 31.03.2026
Страница №92 из 125:
Увеличить