Официальное опубликование правовых актов
ОФИЦИАЛЬНОЕ ОПУБЛИКОВАНИЕ
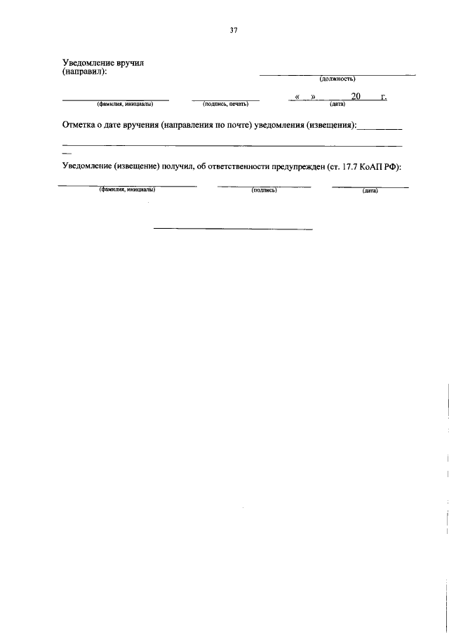
Приказ Инспекции по охране объектов культурного наследия Костромской области от 24.09.2019 № 118
"Об утверждении отдельных форм документов, составляемых в ходе и по результатам осуществления государственного надзора за состоянием, содержанием, сохранением, использованием, популяризацией и государственной охраной объектов культурного наследия, расположенных на территории Костромской области"
Номер опубликования: 4401201909250005
Дата опубликования: 25.09.2019
Страница №37 из 37:
Увеличить