Официальное опубликование правовых актов
ОФИЦИАЛЬНОЕ ОПУБЛИКОВАНИЕ
Постановление Департамента лесного хозяйства Костромской области от 26.11.2020 № 15
"О внесении изменения в лесохозяйственный регламент Пыщугского лесничества Костромской области, утвержденный постановлением департамента лесного хозяйства Костромской области от 19.12.2016 № 15"
Номер опубликования: 4401202011270002
Дата опубликования: 27.11.2020
Страница №298 из 303:
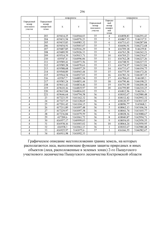
Увеличить