Официальное опубликование правовых актов
ОФИЦИАЛЬНОЕ ОПУБЛИКОВАНИЕ
Приказ Инспекции по охране объектов культурного наследия Костромской области от 25.05.2021 № 53
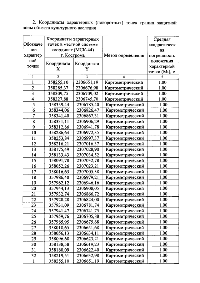
"Об утверждении графического описания местоположения границ защитной зоны объекта культурного наследия регионального значения "Дом жилой старосты Носкова", кон. ХIХ — нач. ХХ вв. (Костромская область, город Шарья, улица П. Морозова, 7) с перечнем координат характерных точек этих границ в системе координат, установленной для ведения Единого государственного реестра недвижимости, режима использования земель в границах защитной зоны объектов культурного наследия"
Номер опубликования: 4401202105280005
Дата опубликования: 28.05.2021
Страница №4 из 5:
Увеличить