Официальное опубликование правовых актов
ОФИЦИАЛЬНОЕ ОПУБЛИКОВАНИЕ
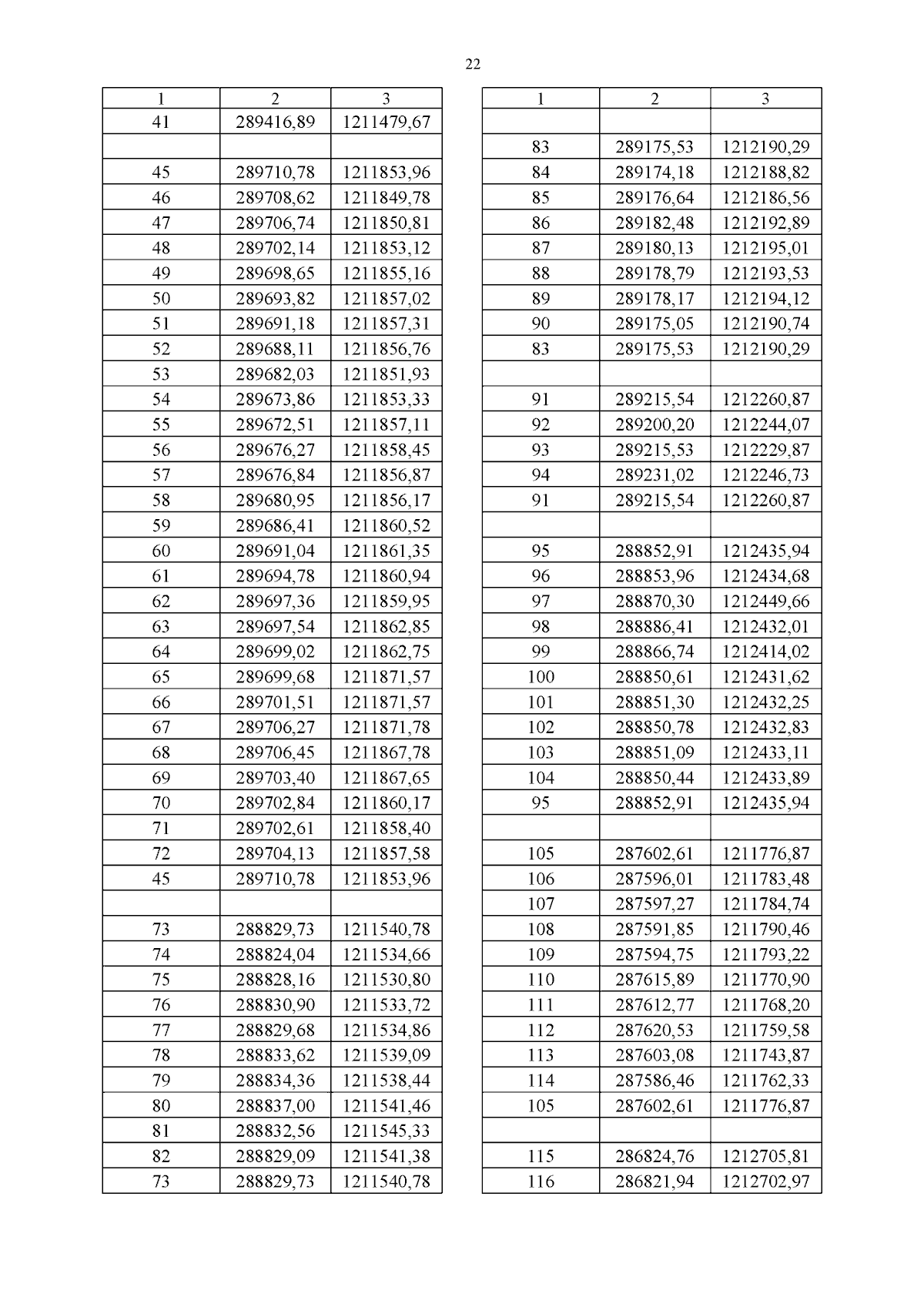
Приказ Департамента имущественных и земельных отношений Костромской области от 16.07.2024 № 99-од
"Об установлении охранных зон газопроводов газораспределительных сетей"
(Зарегистрирован 18.07.2024 № 343)
Номер опубликования: 4401202407190002
Дата опубликования: 19.07.2024
Страница №24 из 34:
Увеличить