Официальное опубликование правовых актов
ОФИЦИАЛЬНОЕ ОПУБЛИКОВАНИЕ
Приказ Инспекции по охране объектов культурного наследия Костромской области от 28.08.2025 № 62-НПА
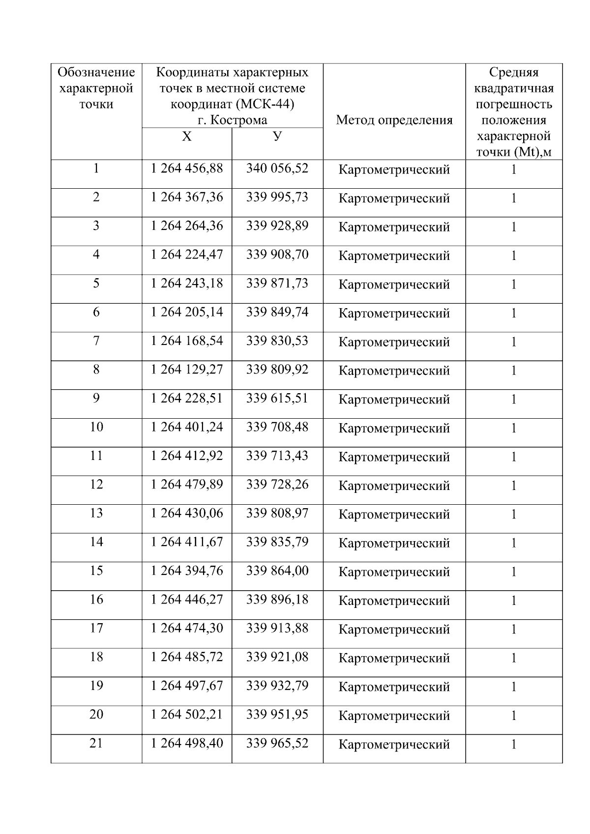
"Об утверждении границы и правового режима использования территории объектов культурного наследия регионального значения "Ансамбль, XVIII – XX вв.: Никольская церковь, 1763 г.; Жилой дом (при Никольской церкви), сер. XIX в.; Троицкая церковь, 1849 г.; Жилой дом (при Троицкой церкви), сер. XIX в.; Собор Богоматери "Скоропослушницы" Свято-Троицкого монастыря, 1895 г.; Монастырская постройка (быв. усадебный дом), сер. XIX в.; Монастырская постройка (быв. левый флигель), 2-я пол. XIX в.; Монастырская постройка (быв. правый флигель), 2-я пол. XIX в.; Монастырская гостиница, кон. XIX в.; Монастырская ограда с угловой башней и пристенными служебными постройками, кон. XIX - нач. XX в.; Монастырская постройка в сев.-вост. углу ограды, кон. XIX в.; Монастырская постройка, кон. XIX в.; Служебная постройка монастыря, кон. XIX - нач. XX в.; Монастырская служебная постройка, кон. XIX в." (Костромская область, Сусанинский район, с. Сумароково)"
(Зарегистрирован 28.08.2025 № 356)
Номер опубликования: 4401202508290003
Дата опубликования: 29.08.2025
Страница №6 из 10:
Увеличить