Официальное опубликование правовых актов
ОФИЦИАЛЬНОЕ ОПУБЛИКОВАНИЕ
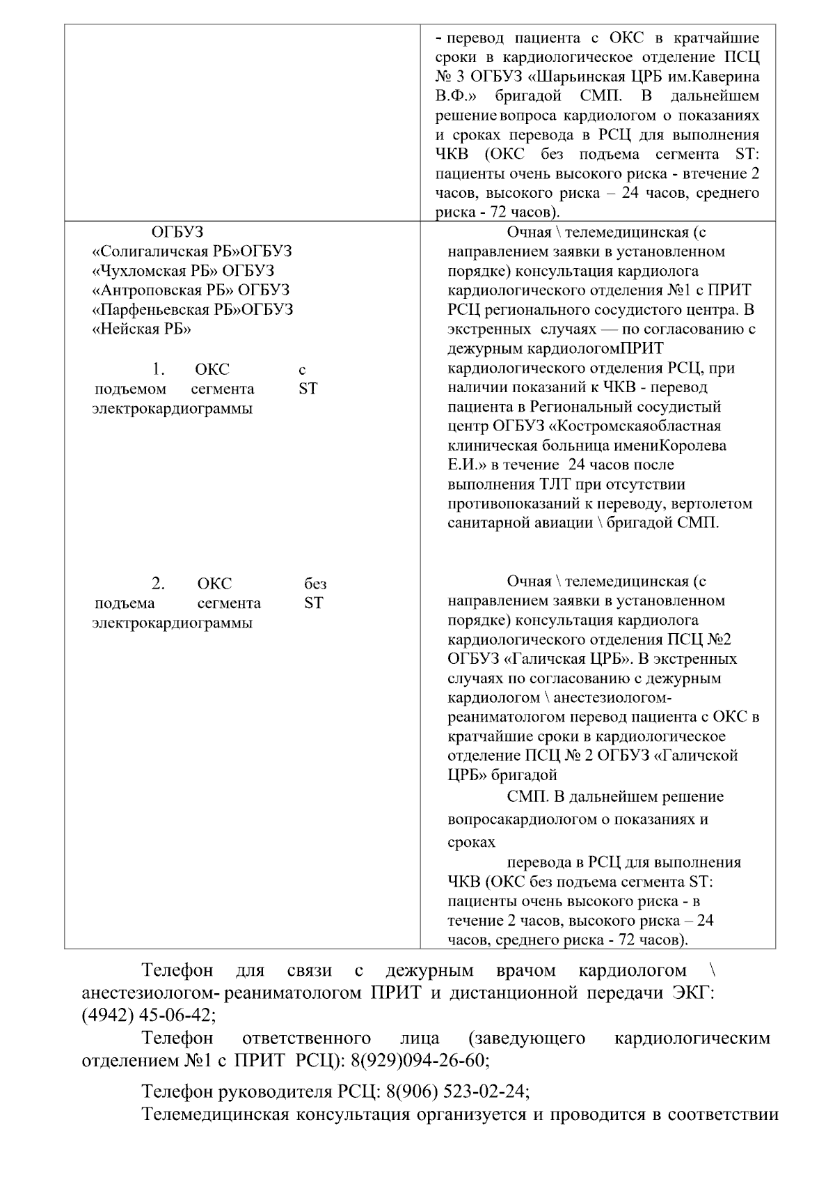
Приказ Департамента здравоохранения Костромской области от 06.10.2025 № 1219
"Об утверждении порядка маршрутизации больных с сердечно сосудистыми заболеваниями в Костромской области"
(Зарегистрирован 10.10.2025 № 488)
Номер опубликования: 4401202510140001
Дата опубликования: 14.10.2025
Страница №32 из 143:
Увеличить