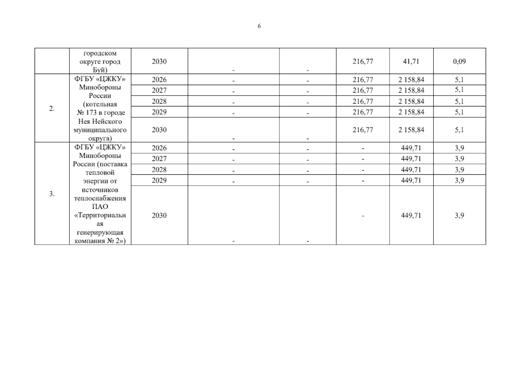
Постановление Департамента государственного регулирования цен и тарифов Костромской области от 10.12.2025 № 25/304
"Об установлении тарифов на тепловую энергию, поставляемую ФГБУ "ЦЖКУ" Минобороны России на территории Костромской области, на 2026-2030 годы"
(Зарегистрирован 15.12.2025 № 685)
"Об установлении тарифов на тепловую энергию, поставляемую ФГБУ "ЦЖКУ" Минобороны России на территории Костромской области, на 2026-2030 годы"
(Зарегистрирован 15.12.2025 № 685)
Номер опубликования: 4401202512170007
Дата опубликования:
17.12.2025
