Официальное опубликование правовых актов
ОФИЦИАЛЬНОЕ ОПУБЛИКОВАНИЕ
Приказ Инспекции по охране объектов культурного наследия Костромской области от 05.02.2026 № 5-НПА
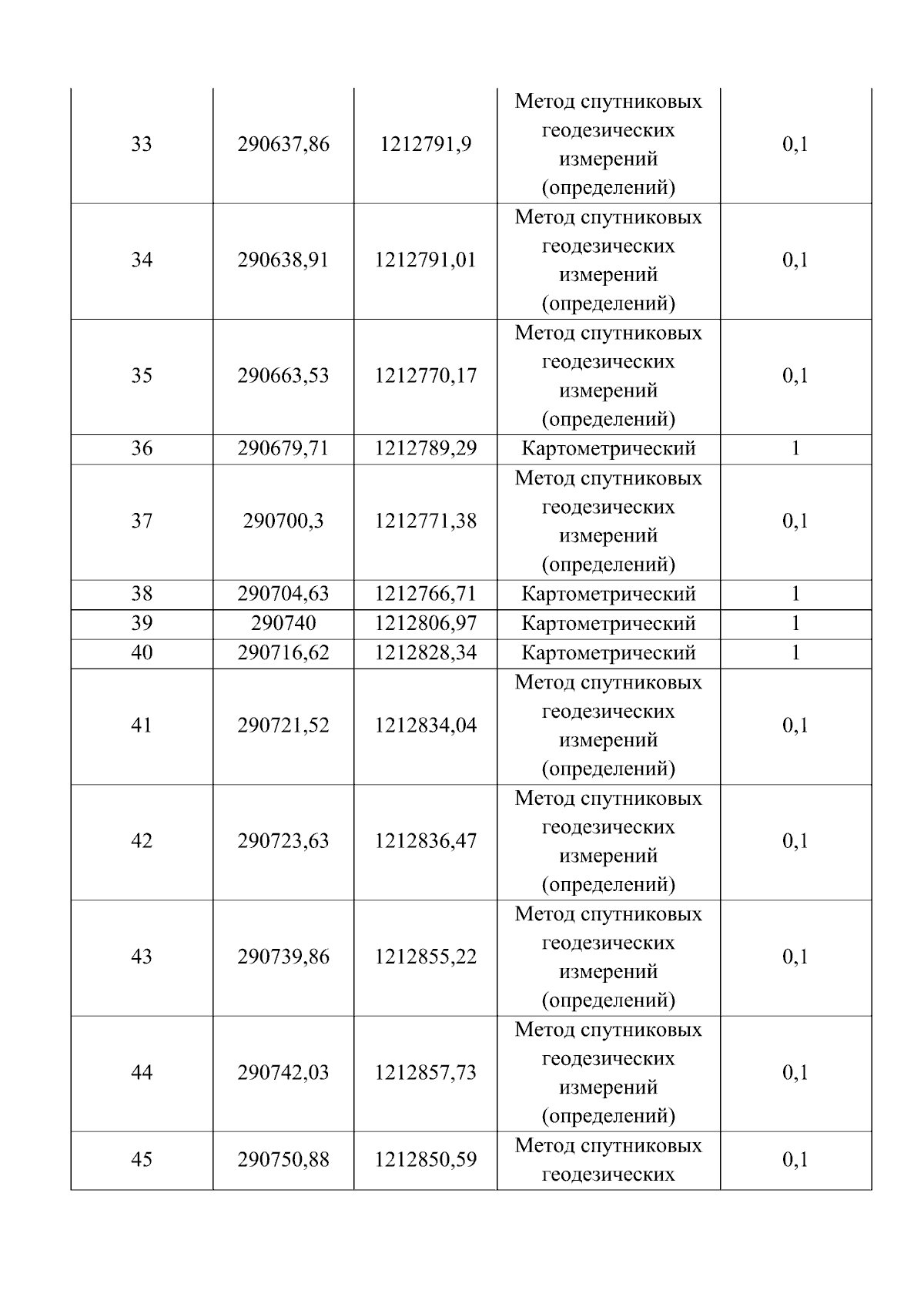
"Об утверждении границы и правового режима использования территории объекта культурного наследия федерального значения "Ансамбль Торговых рядов и других зданий центральной части города", XVIII-XIX вв. (Костромская область, г. Кострома)"
(Зарегистрирован 09.02.2026 № 48)
Номер опубликования: 4401202602100002
Дата опубликования: 10.02.2026
Страница №7 из 12:
Увеличить