Официальное опубликование правовых актов
ОФИЦИАЛЬНОЕ ОПУБЛИКОВАНИЕ
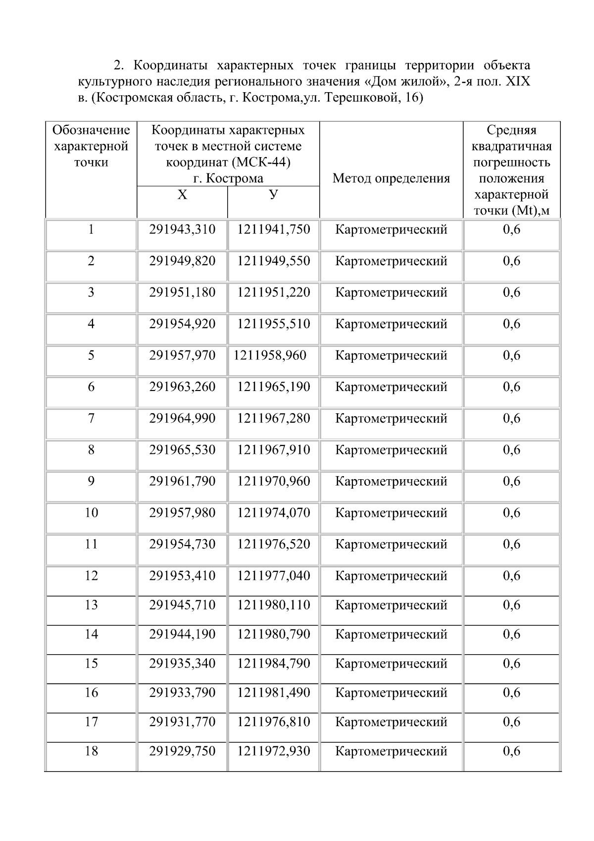
Приказ Инспекции по охране объектов культурного наследия Костромской области от 09.04.2026 № 21-НПА
"Об утверждении границы и правового режима использования территории объекта культурного наследия регионального значения "Дом жилой", 2-я пол. XIX в. (Костромская область, г. Кострома, ул. Терешковой, 16)"
(Зарегистрирован 13.04.2026 № 165)
Номер опубликования: 4401202604130003
Дата опубликования: 13.04.2026
Страница №4 из 8:
Увеличить