Официальное опубликование правовых актов
ОФИЦИАЛЬНОЕ ОПУБЛИКОВАНИЕ
Постановление Правительства Курганской области от 14.07.2015 № 231
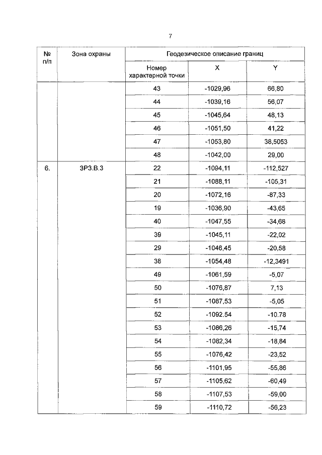
"Об утверждении границ зон охраны, режимов использования земель и градостроительных регламентов в границах зон охраны объекта культурного наследия регионального значения "Дом, входящий в ансамбль улицы", находящегося по адресу: Курганская область, г. Курган, ул. Куйбышева, 20"
Номер опубликования: 4500201507170017
Дата опубликования: 17.07.2015
Страница №7 из 18:
Увеличить