Официальное опубликование правовых актов
ОФИЦИАЛЬНОЕ ОПУБЛИКОВАНИЕ
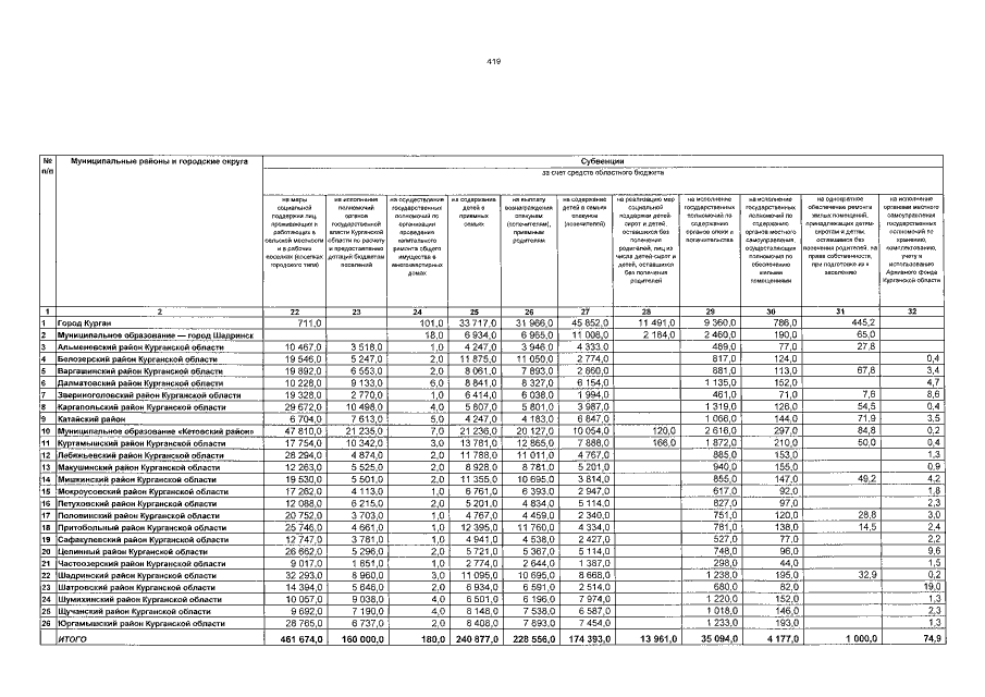
Закон Курганской области от 28.12.2016 № 103
"Об областном бюджете на 2017 год и на плановый период 2018 и 2019 годов"
Номер опубликования: 4500201612300001
Дата опубликования: 30.12.2016
Страница №419 из 425:
Увеличить