Официальное опубликование правовых актов
ОФИЦИАЛЬНОЕ ОПУБЛИКОВАНИЕ
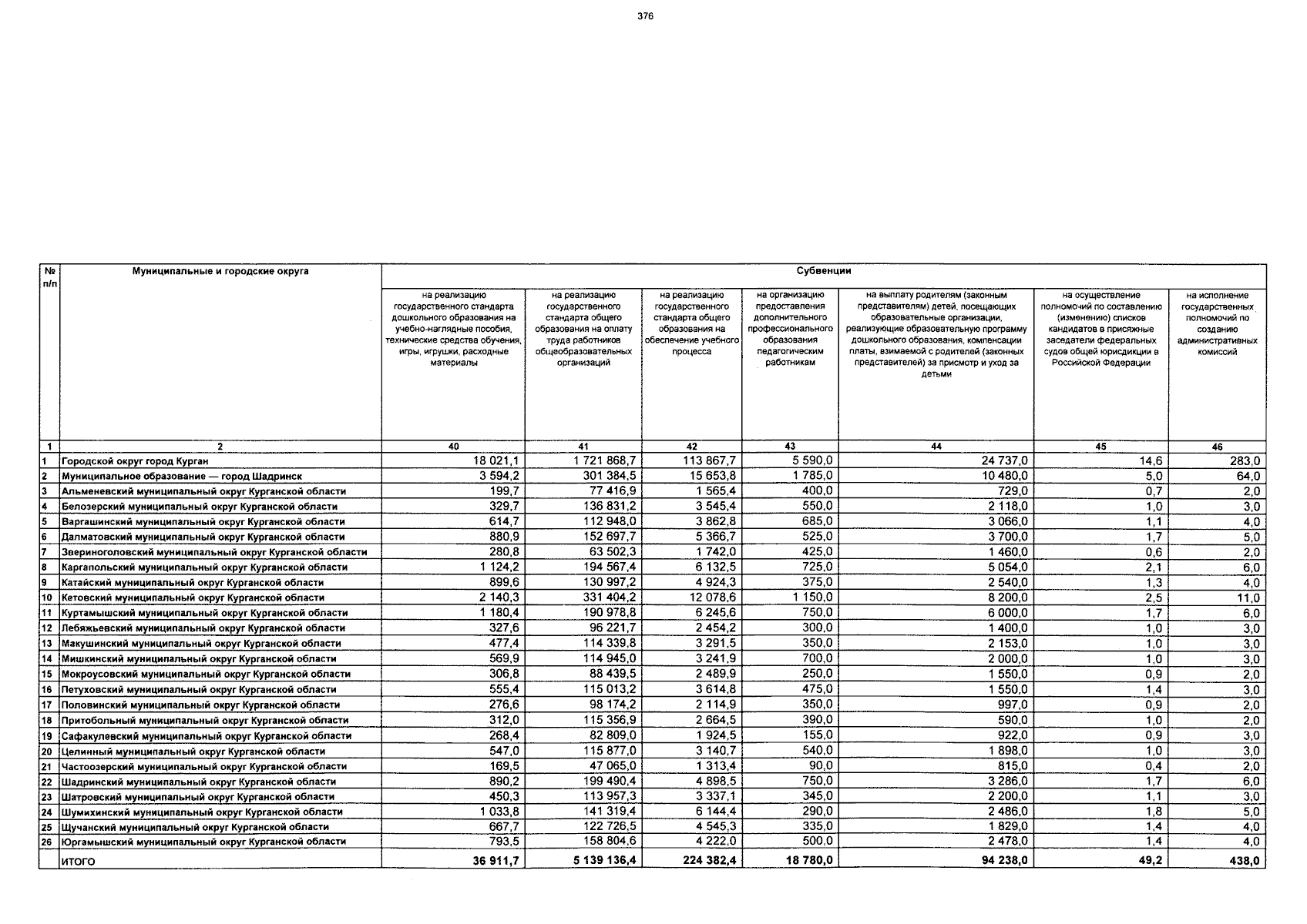
Закон Курганской области от 24.12.2024 № 72
"О внесении изменений в Закон Курганской области "Об областном бюджете на 2024 год и на плановый период 2025 и 2026 годов"
Номер опубликования: 4500202412250014
Дата опубликования: 25.12.2024
Страница №376 из 392:
Увеличить