Официальное опубликование правовых актов
ОФИЦИАЛЬНОЕ ОПУБЛИКОВАНИЕ
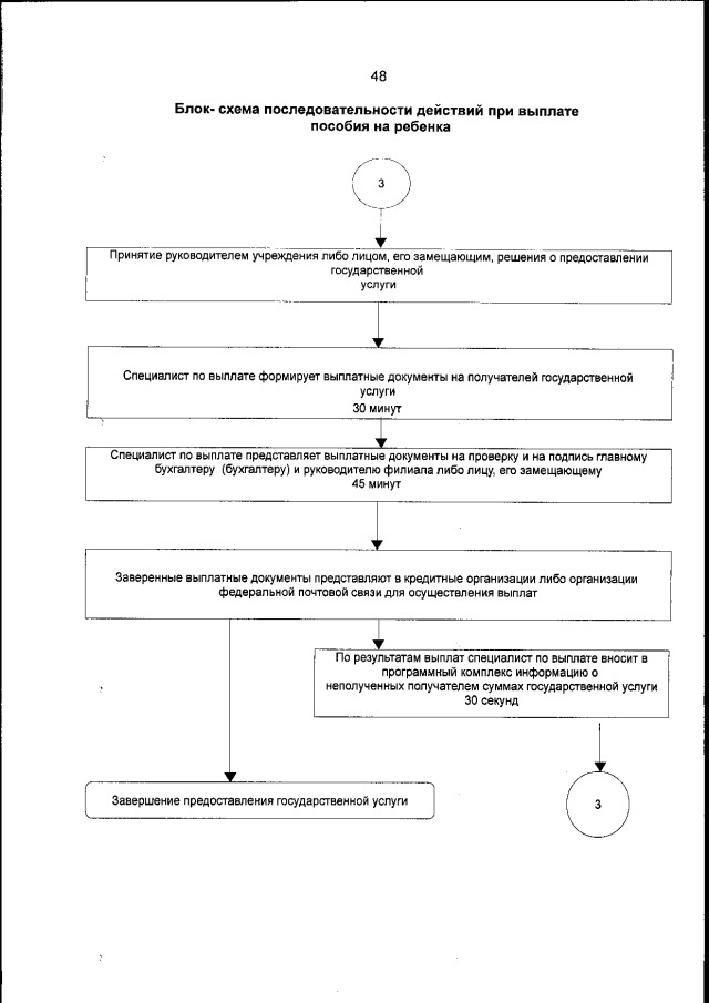
Приказ Главного управления социальной защиты населения Курганской области от 22.06.2017 № 338
"Об утверждении Административного регламента предоставления государственной услуги по назначению и выплате пособия на ребенка"
Номер опубликования: 4501201706230001
Дата опубликования: 23.06.2017
Страница №48 из 58:
Увеличить