Официальное опубликование правовых актов
ОФИЦИАЛЬНОЕ ОПУБЛИКОВАНИЕ
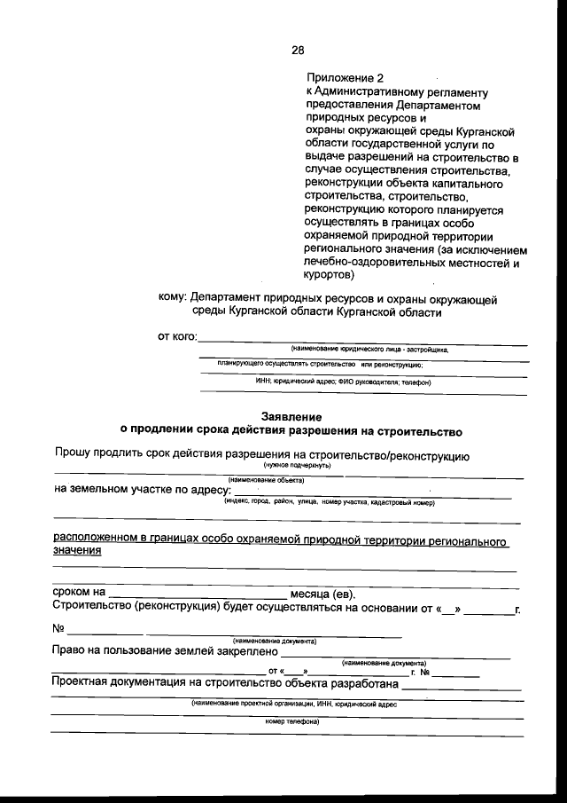
Приказ Департамента природных ресурсов и охраны окружающей среды Курганской области от 03.08.2017 № 686
"Об утверждении Административного регламента предоставления Департаментом природных ресурсов и охраны окружающей среды Курганской области государственной услуги по выдаче разрешений на строительство в случае осуществления строительства, реконструкции объекта капитального строительства, строительство, реконструкцию которого планируется осуществлять в границах особо охраняемой природной территории регионального значения (за исключением лечебно-оздоровительных местностей и курортов)"
Номер опубликования: 4501201708040004
Дата опубликования: 04.08.2017
Страница №28 из 37:
Увеличить