Официальное опубликование правовых актов
ОФИЦИАЛЬНОЕ ОПУБЛИКОВАНИЕ
Приказ Главного управления социальной защиты населения Курганской области от 16.08.2018 № 400
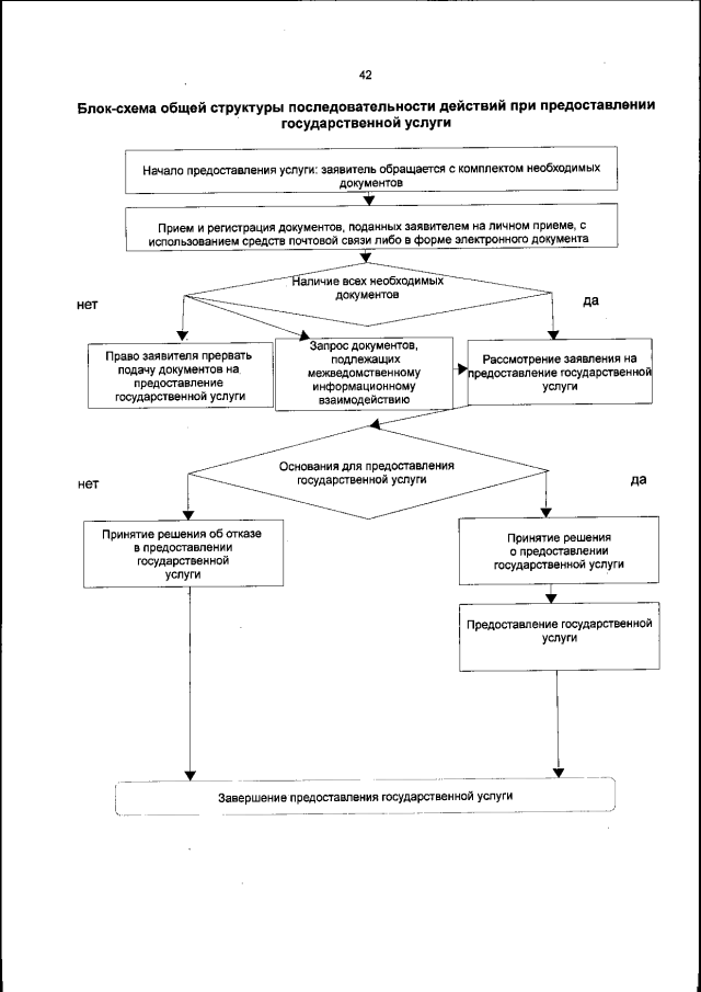
"Об утверждении Административного регламента предоставления государственной услуги по выдаче справки, подтверждающей, что среднедушевой доход семьи не превышает величину прожиточного минимума, установленную в Курганской области, необходимой для обращения за получением компенсации части родительской платы за присмотр и уход за детьми в образовательных организациях, реализующих образовательную программу дошкольного образования"
Номер опубликования: 4501201808170010
Дата опубликования: 17.08.2018
Страница №42 из 45:
Увеличить