Официальное опубликование правовых актов
ОФИЦИАЛЬНОЕ ОПУБЛИКОВАНИЕ
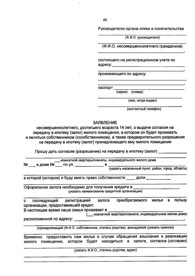
Приказ Главного управления социальной защиты населения Курганской области от 12.09.2019 № 356
"Об утверждении Административного регламента предоставления органами местного самоуправления муниципальных районов и городских округов Курганской области государственной услуги по выдаче предварительных разрешений (согласий), затрагивающих осуществление имущественных прав несовершеннолетних, недееспособных, ограниченно дееспособных граждан"
Номер опубликования: 4501201909130001
Дата опубликования: 13.09.2019
Страница №66 из 102:
Увеличить