Официальное опубликование правовых актов
ОФИЦИАЛЬНОЕ ОПУБЛИКОВАНИЕ
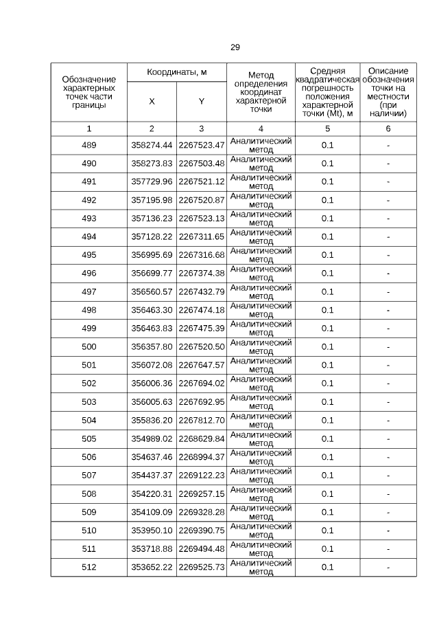
Постановление Департамента имущественных и земельных отношений Курганской области от 05.03.2022 № 11-п
"Об установлении публичного сервитута"
Номер опубликования: 4501202203110002
Дата опубликования: 11.03.2022
Страница №29 из 82:
Увеличить