Официальное опубликование правовых актов
ОФИЦИАЛЬНОЕ ОПУБЛИКОВАНИЕ
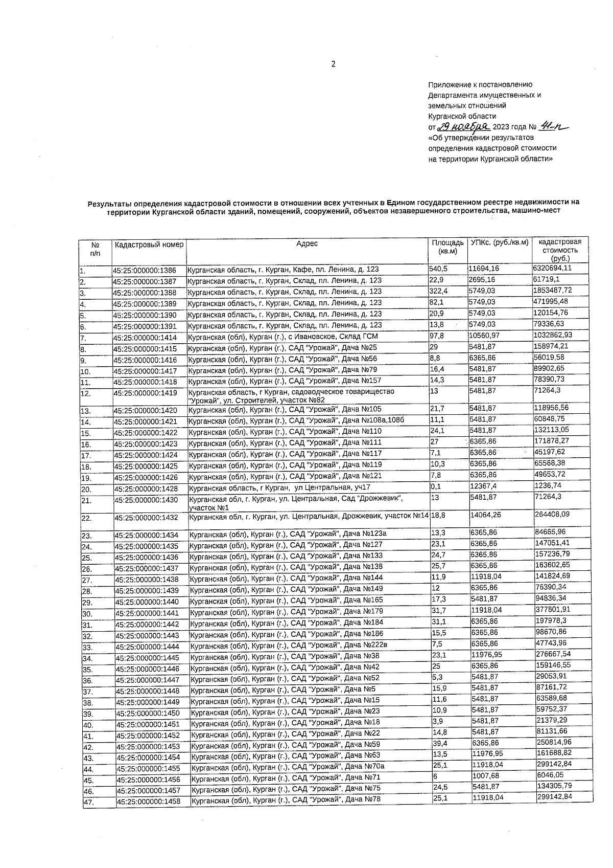
Постановление Департамента имущественных и земельных отношений Курганской области от 29.11.2023 № 41-п
"Об утверждении результатов определения кадастровой стоимости на территории Курганской области"
(Зарегистрирован 29.11.2023 № 230510041)
Номер опубликования: 4501202311300011
Дата опубликования: 30.11.2023
Страница №2 из 16729:
Увеличить