Официальное опубликование правовых актов
ОФИЦИАЛЬНОЕ ОПУБЛИКОВАНИЕ
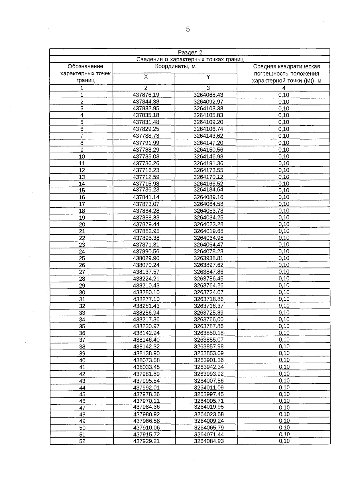
Постановление Департамента имущественных и земельных отношений Курганской области от 20.11.2024 № 53-п
"Об установлении публичного сервитута"
(Зарегистрирован 20.11.2024 № 240510053)
Номер опубликования: 4501202411210005
Дата опубликования: 21.11.2024
Страница №5 из 8:
Увеличить