Официальное опубликование правовых актов
ОФИЦИАЛЬНОЕ ОПУБЛИКОВАНИЕ
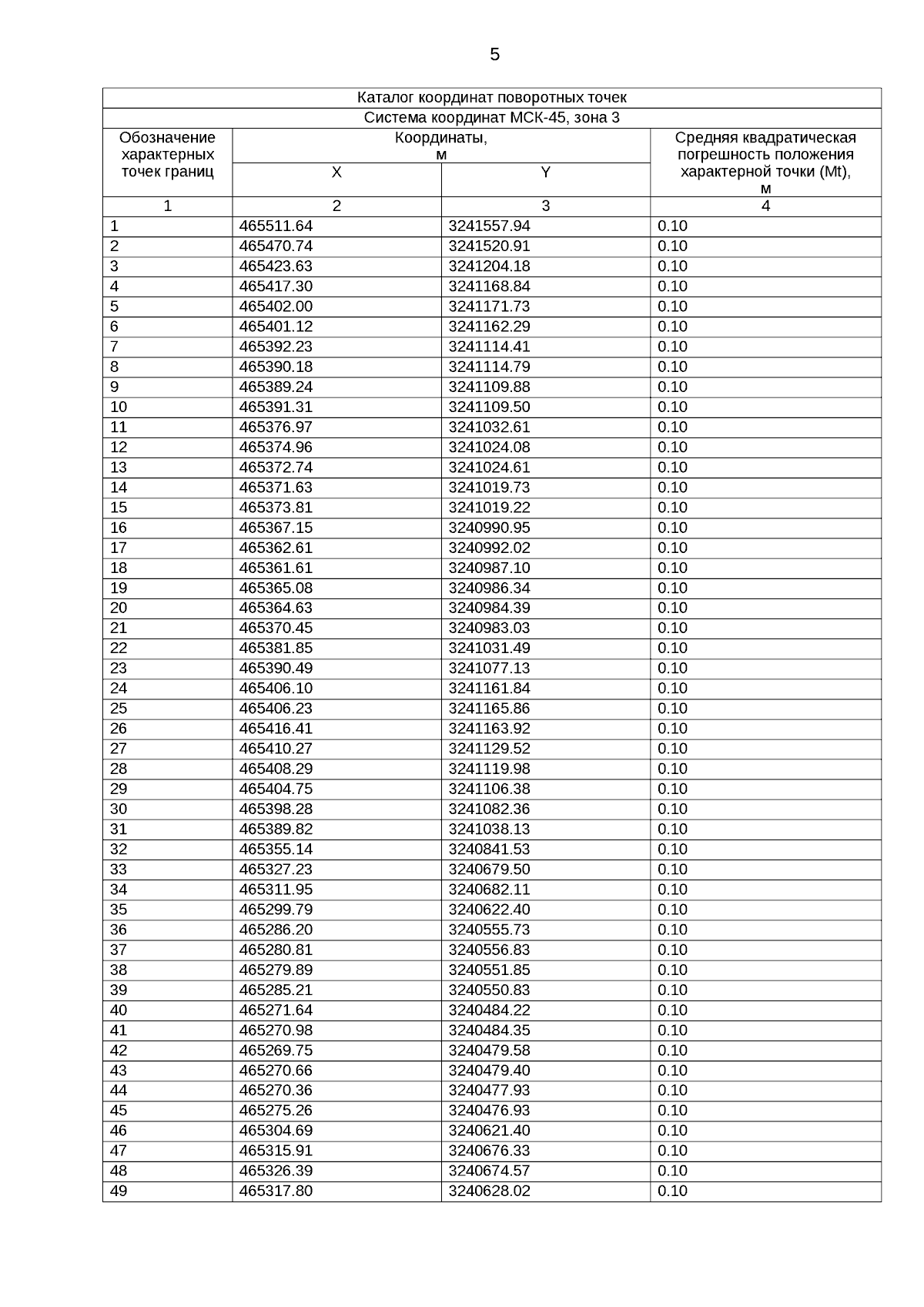
Постановление Департамента имущественных и земельных отношений Курганской области от 04.07.2025 № 44-п
"Об установлении публичного сервитута"
(Зарегистрирован 04.07.2025 № 250510044)
Номер опубликования: 4501202507080008
Дата опубликования: 08.07.2025
Страница №5 из 13:
Увеличить