Официальное опубликование правовых актов
ОФИЦИАЛЬНОЕ ОПУБЛИКОВАНИЕ
Постановление Администрации Курской области от 16.12.2015 № 890-па
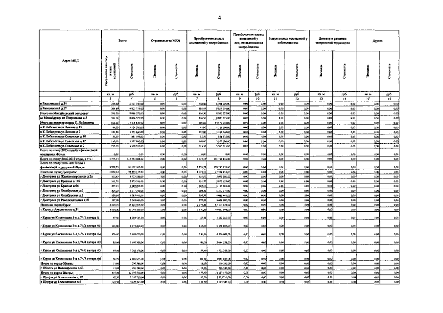
"О внесении изменений в постановление Администрации Курской области от 28.03.2014 № 194-па "Об утверждении адресной программы Курской области по переселению граждан из аварийного жилищного фонда на 2013-2017 (1 сентября) годы"
Номер опубликования: 4600201512220001
Дата опубликования: 22.12.2015
Страница №25 из 27:
Увеличить