Официальное опубликование правовых актов
ОФИЦИАЛЬНОЕ ОПУБЛИКОВАНИЕ
Распоряжение Губернатора Курской области от 26.06.2017 № 164-рг
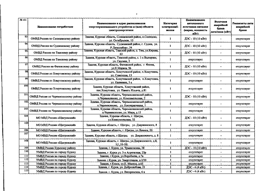
"Об утверждении Перечня потребителей электрической энергии (мощности), ограничение режима потребления электроэнергии которых может привести к экономическим, экологическим или социальным последствиям на территории Курской области"
Номер опубликования: 4600201706290009
Дата опубликования: 29.06.2017
Страница №8 из 106:
Увеличить