Официальное опубликование правовых актов
ОФИЦИАЛЬНОЕ ОПУБЛИКОВАНИЕ
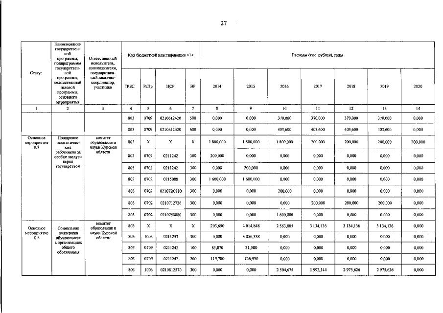
Постановление Администрации Курской области от 19.07.2017 № 590-па
"О внесении изменений в государственную программу Курской области "Развитие образования в Курской области"
Номер опубликования: 4600201707210012
Дата опубликования: 21.07.2017
Страница №28 из 72:
Увеличить