Официальное опубликование правовых актов
ОФИЦИАЛЬНОЕ ОПУБЛИКОВАНИЕ
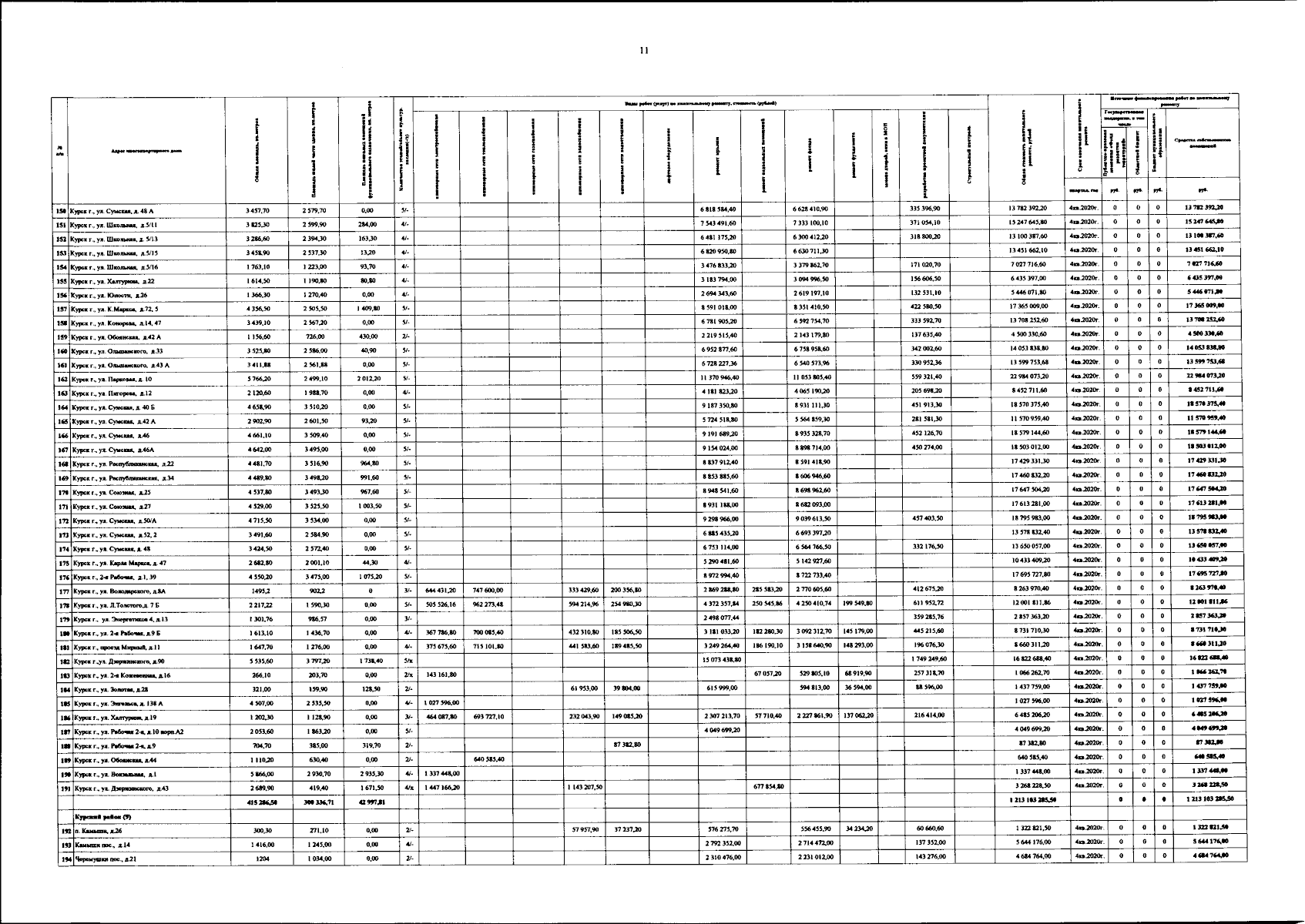
Постановление Правительства Курской области от 21.11.2025 № 861-пп
"О внесении изменений в краткосрочный план реализации Региональной программы капитального ремонта общего имущества в многоквартирных домах, расположенных на территории Курской области, на 2017 — 2019 годы"
Номер опубликования: 4600202511260001
Дата опубликования: 26.11.2025
Страница №12 из 15:
Увеличить