Официальное опубликование правовых актов
ОФИЦИАЛЬНОЕ ОПУБЛИКОВАНИЕ
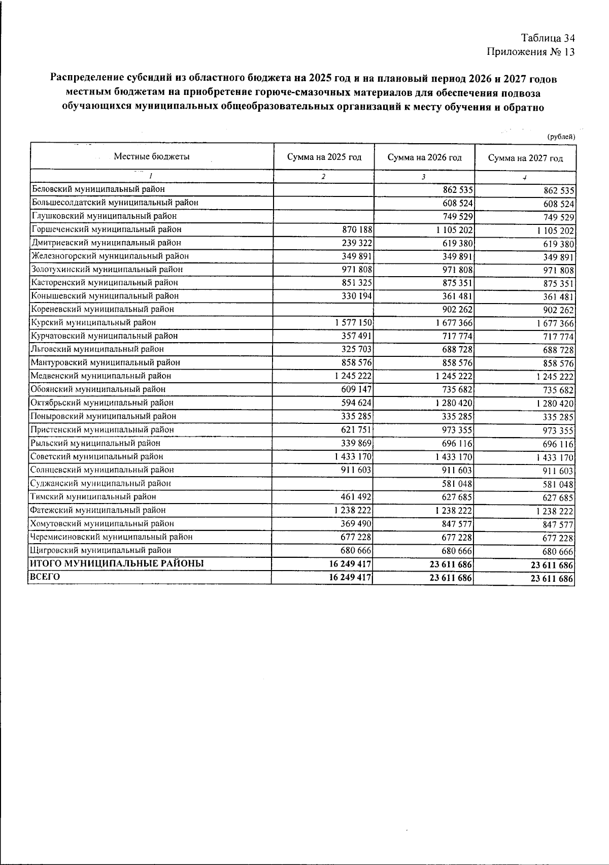
Закон Курской области от 19.12.2025 № 97-ЗКО
"О внесении изменений в Закон Курской области "Об областном бюджете на 2025 год и на плановый период 2026 и 2027 годов"
Номер опубликования: 4600202512240005
Дата опубликования: 24.12.2025
Страница №446 из 462:
Увеличить