Официальное опубликование правовых актов
ОФИЦИАЛЬНОЕ ОПУБЛИКОВАНИЕ
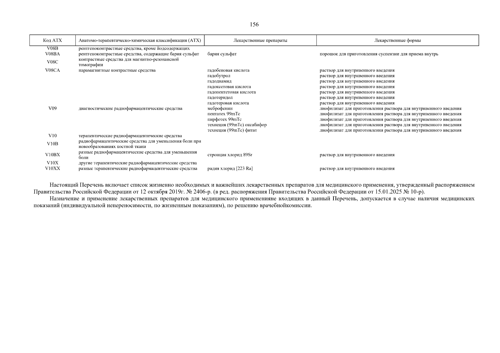
Постановление Правительства Курской области от 26.12.2025 № 1032-пп
"Об утверждении территориальной программы государственных гарантий бесплатного оказания гражданам медицинской помощи в Курской области на 2026 год и на плановый период 2027 и 2028 годов"
Номер опубликования: 4600202512300015
Дата опубликования: 30.12.2025
Страница №157 из 157:
Увеличить