Официальное опубликование правовых актов
ОФИЦИАЛЬНОЕ ОПУБЛИКОВАНИЕ
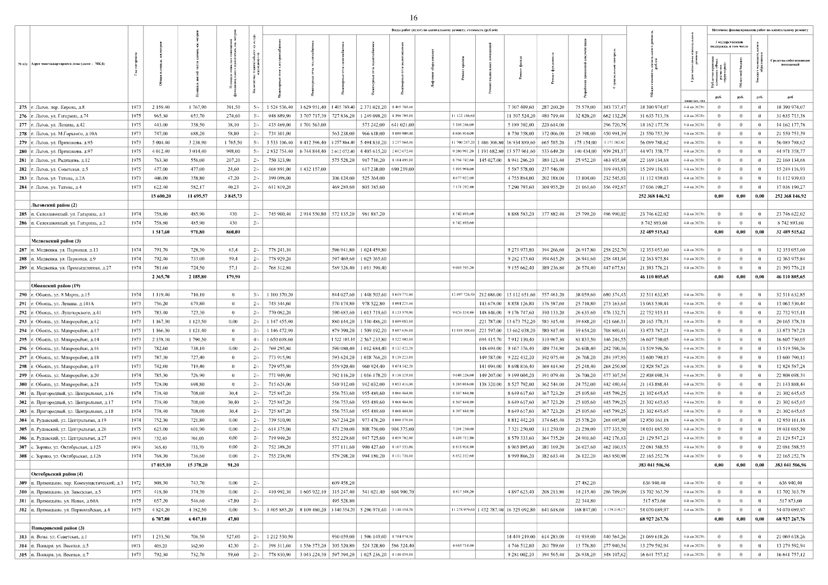
Постановление Правительства Курской области от 24.03.2026 № 199-пп
"О внесении изменений в краткосрочный план реализации Региональной программы капитального ремонта общего имущества в многоквартирных домах, расположенных на территории Курской области, на 2026—2028 годы"
Номер опубликования: 4600202603300011
Дата опубликования: 30.03.2026
Страница №17 из 28:
Увеличить