Официальное опубликование правовых актов
ОФИЦИАЛЬНОЕ ОПУБЛИКОВАНИЕ
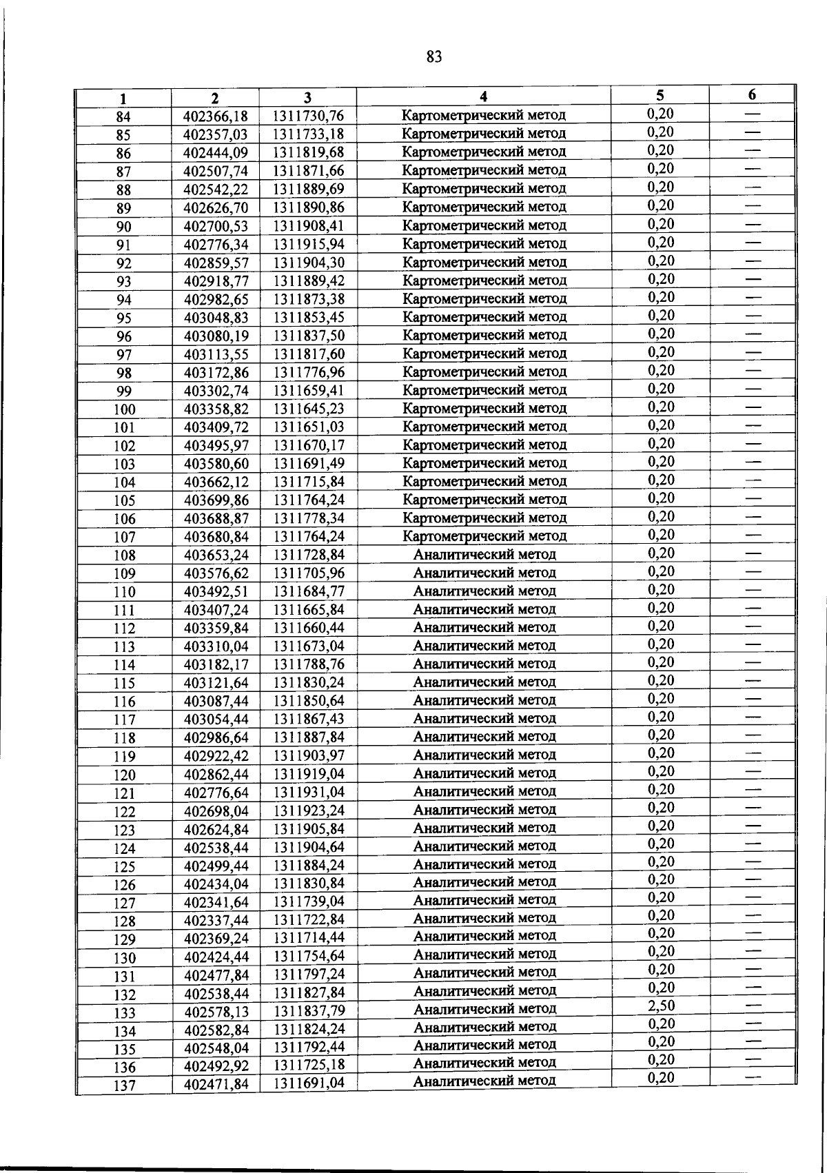
Постановление Губернатора Курской области от 03.04.2026 № 114-пг
"О расширении охранной зоны памятника природы регионального значения "Колодный лог" и о внесении изменений в постановление Губернатора Курской области от 26.09.2022 № 274-пг"
Номер опубликования: 4600202604090001
Дата опубликования: 09.04.2026
Страница №84 из 86:
Увеличить