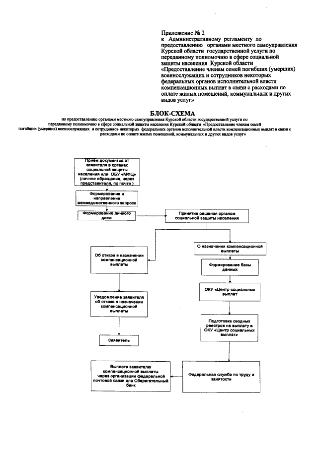
Приказ Комитета социального обеспечения Курской области от 12.01.2018 № 9 "О внесении изменений в Административный регламент по предоставлению органами местного самоуправления Курской области государственной услуги по переданному полномочию в сфере социальной защиты населения Курской области "Предоставление членам семей погибших (умерших) военнослужащих и сотрудников некоторых федеральных органов исполнительной власти компенсационных выплат в связи с расходами по оплате жилых помещений, коммунальных и других видов услуг"
Номер опубликования: 4601201801150001
Дата опубликования:
15.01.2018
